Find the equation of tangent to the curve

Question:

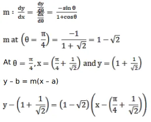
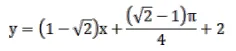
Find the equation of tangent to the curve $\mathrm{x}=(\theta+\sin \theta), \mathrm{y}=(1+\cos \theta)$ at $\theta=\frac{\pi}{4}$

Solution:

Leave a comment