Question:
Find the inverse of each of the matrices given below.
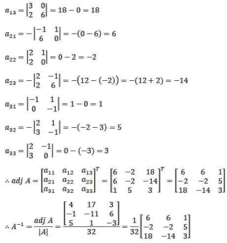
$\left[\begin{array}{ccc}2 & -1 & 1 \\ 3 & 0 & -1 \\ 2 & 6 & 0\end{array}\right]$
Solution:
We have, $A=\left[\begin{array}{ccc}2 & -1 & 1 \\ 3 & 0 & -1 \\ 2 & 6 & 0\end{array}\right]$


Ans. $\frac{1}{32} \cdot\left[\begin{array}{ccc}6 & 6 & 1 \\ -2 & -2 & 5 \\ 8 & -14 & 3\end{array}\right]$