Question:
Find the mean of each of the following frequency distributions :

Solution:
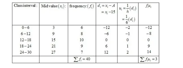
Let the assumed mean be A = 15 and h = 6.

We know that mean, $\bar{X}=A+h\left(\frac{1}{N} \sum f_{i} u_{i}\right)$
Now, we have $N=\sum f_{i}=40, \sum f_{i} u_{i}=3, h=6$ and $A=15$.
Putting the values in the above formula, we get
$\bar{X}=A+h\left(\frac{1}{N} \sum f_{i} u_{i}\right)$
$=15+6\left(\frac{1}{40} \times(3)\right)$
$=15+\frac{18}{40}$
$=15+0.45$
$=15.45$
Hence, the mean is 15.45.