Find the shortest distance between the lines whose vector equations are
$\vec{r}=(\hat{i}+2 \hat{j}+3 \hat{k})+\lambda(\hat{i}-3 \hat{j}+2 \hat{k})$
and $\vec{r}=4 \hat{i}+5 \hat{j}+6 \hat{k}+\mu(2 \hat{i}+3 \hat{j}+\hat{k})$
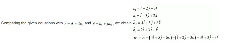
The given lines are $\vec{r}=\hat{i}+2 \hat{j}+3 \hat{k}+\lambda(\hat{i}-3 \hat{j}+2 \hat{k})$ and $\vec{r}=4 \hat{i}+5 \hat{j}+6 \hat{k}+\mu(2 \hat{i}+3 \hat{j}+\hat{k})$
It is known that the shortest distance between the lines, $\vec{r}=\vec{a}_{1}+\lambda \vec{b}_{1}$ and $\vec{r}=\vec{a}_{2}+\mu \vec{b}_{2}$, is given by,
$d=\left|\frac{\left(\vec{b}_{1} \times \vec{b}_{2}\right) \cdot\left(\vec{a}_{2}-\vec{a}_{2}\right)}{\left|\vec{b}_{1} \times \vec{b}_{2}\right|}\right|$ ...(1)

$\vec{b}_{1} \times \vec{b}_{2}=\left|\begin{array}{lll}\hat{i} & \hat{j} & \hat{k} \\ 1 & -3 & 2 \\ 2 & 3 & 1\end{array}\right|=(-3-6) \hat{i}-(1-4) \hat{j}+(3+6) \hat{k}=-9 \hat{i}+3 \hat{j}+9 \hat{k}$
$\Rightarrow\left|\vec{b}_{1} \times \vec{b}_{2}\right|=\sqrt{(-9)^{2}+(3)^{2}+(9)^{2}}=\sqrt{81+9+81}=\sqrt{171}=3 \sqrt{19}$
$\left(\vec{b}_{1} \times \vec{b}_{2}\right) \cdot\left(\vec{a}_{2}-\vec{a}_{1}\right)=(-9 \hat{i}+3 \hat{j}+9 \hat{k}) \cdot(3 \hat{i}+3 \hat{j}+3 \hat{k})$
$=-9 \times 3+3 \times 3+9 \times 3$
$=9$
Substituting all the values in equation (1), we obtain
$d=\left|\frac{9}{3 \sqrt{19}}\right|=\frac{3}{\sqrt{19}}$
Therefore, the shortest distance between the two given lines is $\frac{3}{\sqrt{19}}$ units.