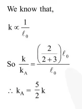
Question: If a spring of stiffiness ' $\mathrm{k}$ ' is cut into two parts 'A' and ' $\mathrm{B}$ ' of length $\ell_{\mathrm{A}}: \ell_{\mathrm{B}}=2: 3$, then the stiffiness of spring ' $A$ ' is given by :-
$\frac{5}{2} \mathrm{k}$
$\frac{3 k}{5}$
$\frac{2 k}{5}$
$\mathrm{k}$
Correct Option: 1
Solution:
