Question:
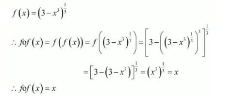
If $f: \mathbf{R} \rightarrow \mathbf{R}$ be given by $f(x)=\left(3-x^{3}\right)^{\frac{1}{3}}$, then $f \circ f(x)$ is
(A) $\frac{1}{x^{3}}$ (B) $x^{3}$ (C) $x$ (D) $\left(3-x^{3}\right)$
Solution:
$f \mathbf{R} \rightarrow \mathbf{R}$ is given as $f(x)=\left(3-x^{3}\right)^{\frac{1}{3}}$
$f(x)=\left(3-x^{3}\right)^{\frac{1}{3}}$

The correct answer is C.