Question:
If two lines $L_{1}$ and $L_{2}$ in space, are defined by
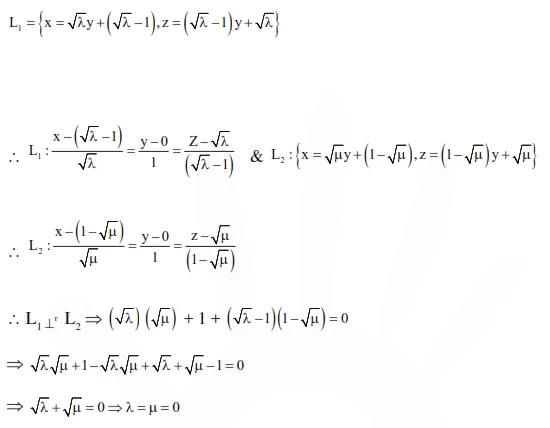
$\mathrm{L}_{1}=\{\mathrm{x}=\sqrt{\lambda} \mathrm{y}+(\sqrt{\lambda}-1)$
$\mathrm{z}=(\sqrt{\lambda}-1) \mathrm{y}+\sqrt{\lambda}\}$ and
$\mathrm{L}_{2}=\{\mathrm{x}=\sqrt{\mu} \mathrm{y}+(1-\sqrt{\mu})$
$z=(1-\sqrt{\mu}) y+\sqrt{\mu}\}$
then $L_{1}$ is perpendicular to $L$, for all non-negative reals $\lambda$ and $\mu$, such that :
Correct Option: 1, 4
Solution:
