Question:
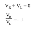
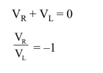
In the circuit shown here, the point ' $\mathrm{C}$ ' is kept connected to point ' $\mathrm{A}$ ' till the current flowing through the circuit becomes constant. Afterward, suddenly, point ' $C$ ' is disconnected from point ' $A$ ' and connected to point ' $B$ ' at time $t=0$. Ratio of the voltage across resistance and the inductor at $\mathrm{t}=\mathrm{L} /$ R will be equal to:

Correct Option: 1
Solution:
