Let f: R → R be the Signum Function defined as
Let $f: \mathbf{R} \rightarrow \mathbf{R}$ be the Signum Function defined as
$f(x)=\left\{\begin{aligned} 1, & x>0 \\ 0, & x=0 \\-1, & x<0 \end{aligned}\right.$
and $g: \mathbf{R} \rightarrow \mathbf{R}$ be the Greatest Integer Function given by $g(x)=[x]$, where $[x]$ is greatest integer less than or equal to $x$. Then does fog and gof coincide in $(0,1]$ ?
It is given that,
$f: \mathbf{R} \rightarrow \mathbf{R}$ is defined as $f(x)=\left\{\begin{array}{rr}1, & x>0 \\ 0, & x=0 \\ -1, & x<0\end{array}\right.$
Also, $g: \mathbf{R} \rightarrow \mathbf{R}$ is defined as $g(x)=[x]$, where $[x]$ is the greatest integer less than or equal to $x$.
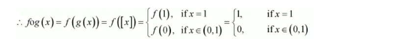
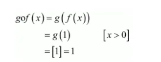
Now, let $x \in(0,1]$.
Then, we have:
$[x]=1$ if $x=1$ and $[x]=0$ if $0


Thus, when $x \in(0,1)$, we have $f \circ g(x)=0$ and $g \circ f(x)=1$.
Hence, fog and gof do not coincide in $(0,1]$.