Question:
Mark $(\sqrt{ })$ against the correct answer in each of the following:
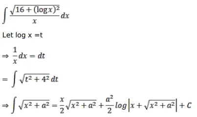
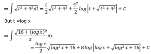
$\int \frac{\sqrt{16+(\log x)^{2}}}{x} d x=?$
A. $\frac{1}{2} \log x \cdot \sqrt{16+(\log x)^{2}}+8 \log \left|\log x+\sqrt{16+(\log x)^{2}}\right|+C$
B. $\frac{1}{2} \log x \cdot \sqrt{16+(\log x)^{2}}+4 \log \left|\log x+\sqrt{16+(\log x)^{2}}\right|+C$
C. $\log x \cdot \sqrt{16+(\log x)^{2}}+16 \log \left|\log x+\sqrt{16+(\log x)^{2}}\right|+C$
D. none of these
Solution:

