Mark against the correct answer in each of the following:
Question:
Mark $(\sqrt{)}$ against the correct answer in each of the following:
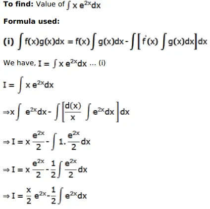
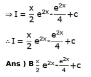
$\int x e^{2 x} d x=?$
A. $\frac{1}{2} \mathrm{x} \mathrm{e}^{2 \mathrm{x}}+\frac{1}{4} \mathrm{e}^{2 \mathrm{x}}+\mathrm{C}$
B. $\frac{1}{2} \mathrm{x} \mathrm{e}^{2 \mathrm{x}}-\frac{1}{4} \mathrm{e}^{2 \mathrm{x}}+\mathrm{C}$
C. $2 \mathrm{x} \mathrm{e}^{2 \mathrm{x}}+4 \mathrm{e}^{2 \mathrm{x}}+\mathrm{C}$
D. none of these
Solution:


