Question:
Mark $(\sqrt{)}$ against the correct answer in each of the following:
$\int \tan ^{-1} \sqrt{\frac{1-x}{1+x}} d x=?$
A. $\frac{1}{2} x\left(\cos ^{-1} x\right)+\frac{1}{2} \sqrt{1-x^{2}}+C$
B. $\frac{1}{2} \mathrm{x}\left(\sin ^{-1} \mathrm{x}\right)+\frac{1}{2} \sqrt{1-\mathrm{x}^{2}}+\mathrm{C}$
C. $\frac{1}{2} x\left(\cos ^{-1} x\right)-\frac{1}{2} \sqrt{1-x^{2}}+C$
D. none of these
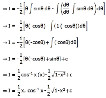
Solution:




