Mark against the correct answer in each of the following:
Question:
Mark $(\sqrt{)}$ against the correct answer in each of the following:
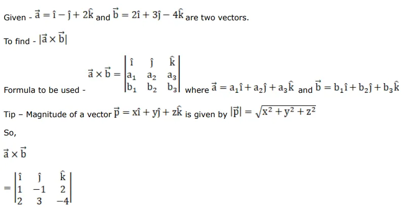
If $\overrightarrow{\mathrm{a}}=(\hat{\mathrm{i}}-\hat{\mathrm{j}}+2 \hat{\mathrm{k}})$ and $\overrightarrow{\mathrm{b}}=(2 \hat{\mathrm{i}}+3 \hat{\mathrm{j}}-4 \hat{\mathrm{k}})$ then $|\overrightarrow{\mathrm{a}} \times \overrightarrow{\mathrm{b}}|=$ ?
A. $\sqrt{174}$
B. $\sqrt{87}$
C. $\sqrt{93}$
D. none of these
Solution:

