Question:
Mark $(\sqrt{)}$ against the correct answer in each of the following:
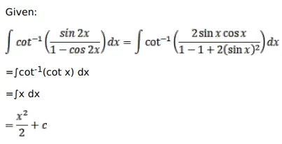
$\int \cot ^{-1}\left(\frac{\sin 2 x}{1-\cos 2 x}\right) d x=?$
A. $\frac{-1}{\left(1+x^{2}\right)}+C$
B. $\frac{-1}{\left(1-x^{2}\right)}+C$
C. $\frac{x^{2}}{2}+C$
D. $2 \mathrm{x}^{2}+\mathrm{C}$
Solution:
