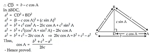
Prove that in any triangle ABC,

Question:

Prove that in any triangle ABC, , where abare the

magnitudes of the sides opposite to the vertices A, B, C, respectively.

Solution:

In triangle ABC, the components of c are c cos A and c sin A.

Leave a comment