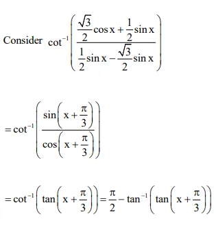
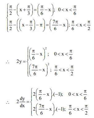
Question: If $2 y=\left(\cot ^{-1}\left(\frac{\sqrt{3} \cos x+\sin x}{\cos x-\sqrt{3} \sin x}\right)\right)^{2}, x \in\left(0, \frac{\pi}{2}\right)$
then $\frac{d y}{d x}$ is equal to :
$2 x-\frac{\pi}{3}$
$\frac{\pi}{3}-x$
$\frac{\pi}{6}-x$
$x-\frac{\pi}{6}$
Correct Option: 4,
Solution:

