Show that $A B=B A$ in each of the following cases:
$A=\left[\begin{array}{lll}1 & 2 & 1 \\ 3 & 4 & 2 \\ 1 & 3 & 2\end{array}\right]$ and $B=\left[\begin{array}{ccc}10 & -4 & -1 \\ -11 & 5 & 0 \\ 9 & -5 & 1\end{array}\right]$
Given : $\mathrm{A}=\left[\begin{array}{lll}1 & 2 & 1 \\ 3 & 4 & 2 \\ 1 & 3 & 2\end{array}\right]$ and $\mathrm{B}=\left[\begin{array}{ccc}10 & -4 & -1 \\ -11 & 5 & 0 \\ 9 & -5 & 1\end{array}\right]$
Matrix A is of order $3 \times 3$ and Matrix $B$ is of order $3 \times 3$
To show : matrix $\mathrm{AB} \neq \mathrm{BA}$

If $A$ is a matrix of order $a \times b$ and $B$ is a matrix of order $c \times d$, then matrix $A B$ exists and is of order $a \times d$, if and only if $b=$ C
If $A$ is a matrix of order $a \times b$ and $B$ is a matrix of order $c \times d$, then matrix $B A$ exists and is of order $c \times b$, if and only if $d=$ a
For matrix $A B, a=3, b=c=3, d=3$, thus matrix $A B$ is of order $3 \times 3$
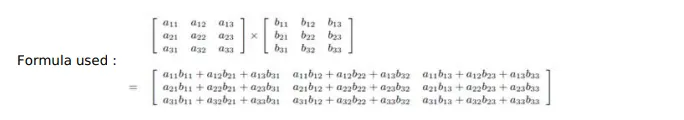
Matrix $A B=\left[\begin{array}{ccc}1 & 2 & 1 \\ 3 & 4 & 2 \\ 1 & 3 & 2\end{array}\right] \times\left[\begin{array}{ccc}10 & -4 & -1 \\ -11 & 5 & 0 \\ 9 & -5 & 1\end{array}\right]=$

Matrix $A B=\left[\begin{array}{ccc}10-22-9 & -4+10-5 & -1+0+1 \\ 30-44-18 & -12+20-10 & -3+0+2 \\ 10-33-18 & -4+15-10 & -1+0+2\end{array}\right]=\left[\begin{array}{ccc}-3 & 1 & 0 \\ -32 & -2 & -1 \\ -41 & 1 & 1\end{array}\right]$ Matrix $A B=\left[\begin{array}{ccc}-3 & 1 & 0 \\ -32 & -2 & -1 \\ -41 & 1 & 1\end{array}\right]$
For matrix $B A, a=3, b=c=3, d=3$, thus matrix $A B$ is of order $3 \times 3$
Matrix BA=

Matrix $\mathrm{AB} \neq \mathrm{BA}$