Show that the vectors $\vec{a}, \vec{b}, \vec{c}$ are coplanar, when
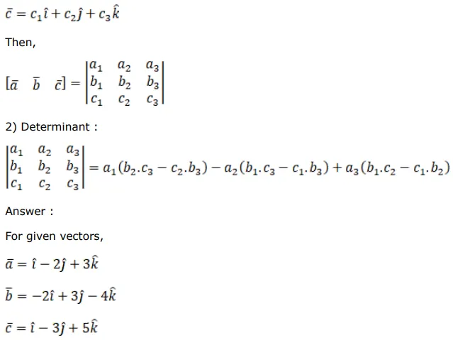
i. $\vec{a}=\hat{\mathrm{i}}-2 \hat{\mathrm{j}}+3 \hat{\mathrm{k}}, \overrightarrow{\mathrm{b}}=-2 \hat{\mathrm{i}}+3 \hat{\mathrm{j}}-4 \hat{\mathrm{k}}$ and $\overrightarrow{\mathrm{c}}=\hat{\mathrm{i}}-3 \hat{\mathrm{j}}+5 \hat{\mathrm{k}}$
ii. $\overrightarrow{\mathrm{a}}=\hat{\mathrm{i}}+3 \hat{\mathrm{j}}+\hat{\mathrm{k}}, \overrightarrow{\mathrm{b}}=2 \hat{\mathrm{i}}-\hat{\mathrm{j}}-\hat{\mathrm{k}}$ and $\overrightarrow{\mathrm{c}}=7 \hat{\mathrm{j}}+3 \hat{\mathrm{k}}$
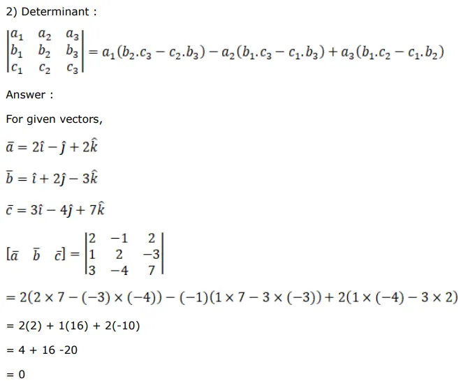
iii. $\overrightarrow{\mathrm{a}}=2 \hat{\mathrm{i}}-\hat{\mathrm{j}}+2 \hat{\mathrm{k}}, \overrightarrow{\mathrm{b}}=\hat{\mathrm{i}}+2 \hat{\mathrm{j}}-3 \hat{\mathrm{k}}$ and $\overrightarrow{\mathrm{c}}=3 \hat{\mathrm{i}}-4 \hat{\mathrm{j}}+7 \hat{\mathrm{k}}$









