Solve the following

Question:

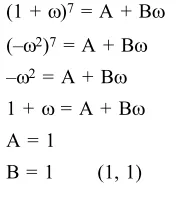
If $\omega(\neq 1)$ is a cube root of unity, and $(1+\omega)^{7}=\mathrm{A}+\mathrm{B} \omega$. Then $(\mathrm{A}, \mathrm{B})$ equals :-

  1.  (1, 0)

  2.  (–1, 1)

  3.  (0, 1)

  4.  (1, 1)


Correct Option: , 4

Solution:

Leave a comment