Solve the following

Question:

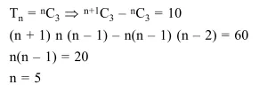
Let $T_{n}$ be the number of all possible triangles formed by joining vertices of an $n$-sided regular polygon. If $T_{n+1}-T_{n}=10$, then the value of $n$ is:

  1. 7

  2. 5

  3. 10

  4. 8


Correct Option: , 2

Solution:

Leave a comment