Question:
If $f\left(x+\frac{1}{x}\right)=\left(x^{2}+\frac{1}{x^{2}}\right)$ for all $x \in R-\{0\}$ then write an expression for $f(x)$.
Solution:
Given, $f\left(x+\frac{1}{x}\right)=\left(x^{2}+\frac{1}{x^{2}}\right)$
Let $y=x+\frac{1}{x}$
$x y=x^{2}+1$
$x^{2}-x y+1=0$
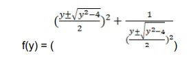
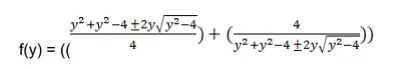
$\mathrm{X}=\frac{-(-y) \pm \sqrt{(-y)^{2}-4(1)(1)}}{2}$
$\mathrm{X}=\frac{\frac{y \pm \sqrt{y^{2}-4}}{2}}{2}$


$\mathrm{f}(\mathrm{y})=y^{2}-2$