Solve this following

Question:

Prove that

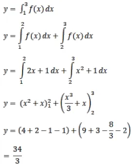
Let $f(x)=\left\{\begin{array}{l}2 x+1, \text { when } 1 \leq x \leq 2 \\ x^{2}+1, \text { when } 2 \leq x \leq 3\end{array}\right.$

Show that $\int_{1}^{3} \mathrm{f}(\mathrm{x}) \mathrm{dx}=\frac{34}{3}$

Solution:

Leave a comment