Solve this following

Question:

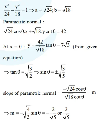
If the line $y=m x+7 \sqrt{3}$ is normal to the

hyperbola $\frac{x^{2}}{24}-\frac{y^{2}}{18}=1$, then a value of $m$ is

 

  1. $\frac{\sqrt{5}}{2}$

  2. $\frac{3}{\sqrt{5}}$

  3. $\frac{2}{\sqrt{5}}$

  4. $\frac{\sqrt{15}}{2}$


Correct Option: , 3

Solution:

Leave a comment