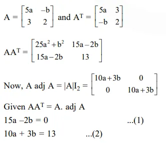
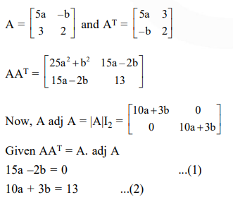
Question: If $\mathrm{A}=\left[\begin{array}{cc}5 \mathrm{a} & -\mathrm{b} \\ 3 & 2\end{array}\right]$ and $\mathrm{A}$ adj $\mathrm{A}=\mathrm{A} \mathrm{} \mathrm{A}^{\mathrm{T}}$, then $5 \mathrm{a}+\mathrm{b}$ is equal to :
Correct Option: , 3
Solution:

