Solve this following

Question:

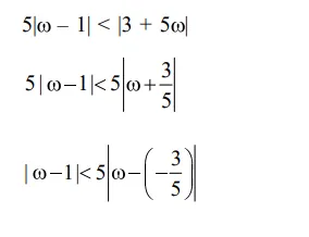
Let $z \in C$ be such that $|z|<1$. If $\omega=\frac{5+3 z}{5(1-z)}$, then:-

  1. $5 \operatorname{Im}(\omega)<1$

  2. $4 \operatorname{Im}(\omega)>5$

  3. $5 \operatorname{Re}(\omega)>1$

  4. $5 \operatorname{Re}(\omega)>4$


Correct Option: , 3

Solution:

Leave a comment