Question:
Mark $(\sqrt{)}$ against the correct answer in each of the following:
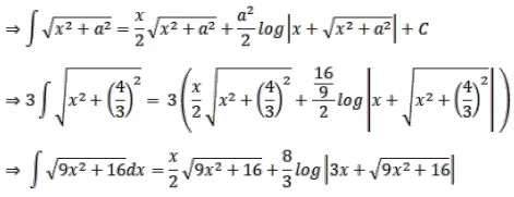
$\int \sqrt{9 x^{2}+16} d x=?$
A. $\frac{x}{2} \sqrt{9 x^{2}+16}+\frac{8}{3} \log \left|3 x+\sqrt{9 x^{2}+16}\right|+C$
B. $\frac{x}{2} \sqrt{9 x^{2}+16}-\frac{8}{3} \log \left|3 x+\sqrt{9 x^{2}+16}\right|+C$
C. $x \sqrt{9 x^{2}+16}+24 \log \left|3 x+\sqrt{9 x^{2}+16}\right|+C$
D. none of these
Solution:
