Question:
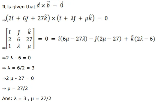
If $\vec{a}=(2 \hat{i}+6 \hat{j}+27 \hat{k})$ and $\overrightarrow{\mathrm{b}}=(\hat{\mathrm{i}}+\lambda \hat{\mathrm{j}}+\mu \hat{\mathrm{k}})$ are such that $\overrightarrow{\mathrm{a}} \times \overrightarrow{\mathrm{b}}=\overrightarrow{0}$ then find the values of $\lambda$ and $\mu$.
Solution:

