Solve this following
Question:
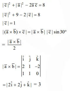
Let $\vec{a}=2 \hat{i}+\hat{j}-2 \hat{k}, \vec{b}=\hat{i}+\hat{j}$. If $\vec{c}$ is a vector such that $\vec{a} \bullet \vec{c}=|\vec{c}|,|\vec{c}-\vec{a}|=2 \sqrt{2}$ and the angle
between $\overrightarrow{\mathrm{a}} \times \overrightarrow{\mathrm{b}}$ and $\overrightarrow{\mathrm{c}}$ is $30^{\circ}$, then $|(\overrightarrow{\mathrm{a}} \times \overrightarrow{\mathrm{b}}) \times \overrightarrow{\mathrm{c}}|$ equals :
Correct Option: 1
Solution:
