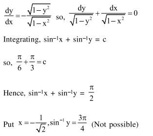
Question: Let $y=y(x)$ be a solution of the differential equation, $\sqrt{1-x^{2}} \frac{d y}{d x}+\sqrt{1-y^{2}}=0,|x|<1$.
If $y\left(\frac{1}{2}\right)=\frac{\sqrt{3}}{2}$, then $y\left(\frac{-1}{\sqrt{2}}\right)$ is equal to
$-\frac{\sqrt{3}}{2}$
$\frac{1}{\sqrt{2}}$
$\frac{\sqrt{3}}{2}$
$-\frac{1}{\sqrt{2}}$
Correct Option: , 2
Solution:
