Solve this following
Question:
Mark $(\sqrt{)}$ against the correct answer in each of the following:
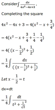
$\int \frac{\mathrm{dx}}{\left(4 \mathrm{x}^{2}-4 \mathrm{x}+3\right)}=?$
A. $\frac{1}{\sqrt{2}} \tan ^{-1}\left(\frac{2 \mathrm{x}-1}{\sqrt{2}}\right)+\mathrm{C}$
B. $\frac{1}{2 \sqrt{2}} \tan ^{-1}\left(\frac{2 \mathrm{x}-1}{\sqrt{2}}\right)+\mathrm{C}$
C. $-\frac{1}{\sqrt{2}} \tan ^{-1}\left(\frac{2 \mathrm{x}-1}{\sqrt{2}}\right)+\mathrm{C}$
D. none of these
Solution:

