Solve this following
Question:
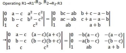
Without expanding the determinant, prove that:
$\left|\begin{array}{ccc}1 & \mathrm{a} & \mathrm{a}^{2} \\ 1 & \mathrm{~b} & \mathrm{~b}^{2} \\ 1 & \mathrm{c} & \mathrm{c}^{2}\end{array}\right|=\left|\begin{array}{ccc}1 & \mathrm{bc} & \mathrm{b}+\mathrm{c} \\ 1 & \mathrm{ca} & \mathrm{c}+\mathrm{a} \\ 1 & \mathrm{ab} & \mathrm{a}+\mathrm{b}\end{array}\right|$
Solution:


