Question:
Mark $(\sqrt{)}$ against the correct answer in each of the following:
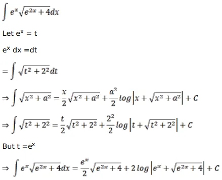
$\int e^{x} \sqrt{e^{2 x}+4} d x=?$
A. $\frac{1}{2} e^{x} \sqrt{e^{2 x}+4}-2 \log \left|e^{x}+\sqrt{e^{2 x}+4}\right|+C$
B. $\frac{1}{2} e^{x} \sqrt{e^{2 x}+4}+2 \log \left|e^{x}+\sqrt{e^{2 x}+4}\right|+C$
C. $e^{x} \sqrt{e^{2 x}+4}+\frac{1}{2} \log \left|e^{x}+\sqrt{e^{2 x}+4}\right|+C$
D. none of these
Solution:
