Solve this following
Question:
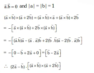
If $\vec{a}=\frac{1}{\sqrt{10}}(3 \hat{i}+\hat{k})$ and $\vec{b}=\frac{1}{7}(2 \hat{i}+3 \hat{j}-6 \hat{k})$, then the value of $(2 \vec{a}-\vec{b}) \cdot[(\vec{a} \times \vec{b}) \times(\vec{a}+2 \vec{b})]$ is l:
Correct Option: , 3
Solution:

$=(2 \vec{a}-\vec{b}) \cdot(\vec{b}-2 \vec{a})$