Solve this following

Question:

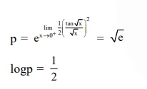
Let $\mathrm{p}=\lim _{\mathrm{x} \rightarrow 0+}\left(1+\tan ^{2} \sqrt{\mathrm{x}}\right)^{\frac{1}{2 x}}$ then $\log \mathrm{p}$ is equal to :-

  1. $\frac{1}{4}$

  2. 2

  3. 1

  4. $\frac{1}{2}$


Correct Option: , 4

Solution:

Leave a comment