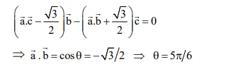
Question:
Let $\overrightarrow{\mathrm{a}}, \overrightarrow{\mathrm{b}}$ and $\overrightarrow{\mathrm{c}}$ be three unit vectors such that $\overrightarrow{\mathrm{a}} \times(\overrightarrow{\mathrm{b}} \times \overrightarrow{\mathrm{c}})=\frac{\sqrt{3}}{2}(\overrightarrow{\mathrm{b}}+\overrightarrow{\mathrm{c}})$. If $\overrightarrow{\mathrm{b}}$ is not parallel to $\overrightarrow{\mathrm{c}}$,
then the angle between $\vec{a}$ and $\vec{b}$ is :-
Correct Option: 1
Solution:
