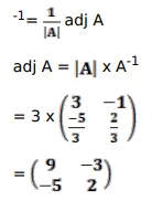
Question:
If $|A|=3$ and $A^{-1}=\left(\begin{array}{cc}3 & -1 \\ \frac{-5}{3} & \frac{2}{3}\end{array}\right)$ then adj $A=?$
A. $\left(\begin{array}{cc}9 & 3 \\ -5 & -2\end{array}\right)$
B. $\left(\begin{array}{cc}9 & -3 \\ -5 & 2\end{array}\right)$
c. $\left(\begin{array}{cc}-9 & 3 \\ 5 & -2\end{array}\right)$
D. $\left(\begin{array}{rr}9 & -3 \\ 5 & -2\end{array}\right)$
Solution:
