Solve this following

Question:

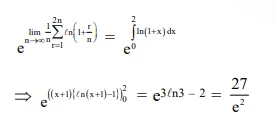
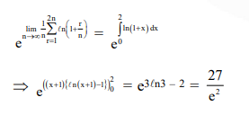
$\lim _{n \rightarrow \infty}\left(\frac{(n+1)(n+2) \ldots . .3 n}{n^{2 n}}\right)^{1 / n}$ is equal to :-

  1. $3 \log 3-2$

  2. $\frac{18}{\mathrm{e}^{4}}$

  3. $\frac{27}{\mathrm{e}^{2}}$

  4. $\frac{9}{e^{2}}$


Correct Option: , 3

Solution:

 

Leave a comment