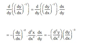
Question: $\frac{d^{2} x}{d y^{2}}$ equals :
$\left(\frac{d^{2} y}{d x^{2}}\right)\left(\frac{d y}{d x}\right)^{-2}$
$-\left(\frac{\mathrm{d}^{2} \mathrm{y}}{\mathrm{dx}^{2}}\right)\left(\frac{\mathrm{dy}}{\mathrm{dx}}\right)^{-3}$
$\left(\frac{\mathrm{d}^{2} \mathrm{y}}{\mathrm{dx}^{2}}\right)^{-1}$
$-\left(\frac{d^{2} y}{d x^{2}}\right)^{-1}\left(\frac{d y}{d x}\right)^{-3}$
Correct Option: , 2
Solution:
