Question:
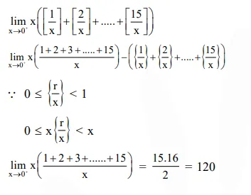
For each $\mathrm{t} \in \mathrm{R}$, let $[\mathrm{t}]$ be the greatest integer less than or equal to $\mathrm{t}$. Then
$\lim _{x \rightarrow 0+} x\left(\left[\frac{1}{x}\right]+\left[\frac{2}{x}\right]+\ldots \ldots+\left[\frac{15}{x}\right]\right) \backslash$
Correct Option: , 2
Solution:
