Ten coins are tossed.

Question:

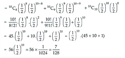
Ten coins are tossed. What is the probability of getting at least 8 heads?

Solution:

Here we have, n = 10, p = ½ and q = 1 – ½ = ½

P(X ≥ 8) = P(x = 8) + P(x = 9) + P(x = 10)

Therefore, the required probability is 7/128.

Leave a comment