The distance of the point
Question:
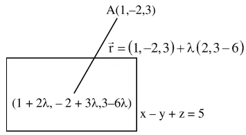
The distance of the point $(1,-2,3)$ from the plane $x-y+z=5$ measured parallel to a line, whose direction ratios are $2,3,-6$ is :
Correct Option: , 4
Solution:

$(1+2 \lambda)+2-3 \lambda+3-6 \lambda=5$
$\Rightarrow 6-7 \lambda=5 \Rightarrow \lambda=\frac{1}{7}$
so, $P=\left(\frac{9}{7},-\frac{11}{7}, \frac{15}{7}\right)$
$\mathrm{AP}=\sqrt{\left(1-\frac{9}{7}\right)^{2}+\left(-2+\frac{11}{7}\right)^{2}+\left(3-\frac{15}{7}\right)^{2}}$
$\mathrm{AP}=\sqrt{\left(\frac{4}{49}\right)+\frac{9}{49}+\frac{36}{49}}=1$