Question:
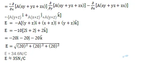
The electric potential existing in space is $v(x, y, z)=A(x y+y z+z x)$.
(a) Write the dimensional formula of A.
(b) Find the expression for the electric field.
(c) If $A$ is $10 S I$ units, find the magnitude of the electric field at $(1 \mathrm{~m}, 1 \mathrm{~m}, 1 \mathrm{~m})$.
Solution:

