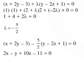
Question: The equation of a plane through the line of intersection of the planes $x+2 y=3, y-2 z+1=0$, and perpendicular to the first plane is :
$2 x-y+7 z=11$
$2 \mathrm{x}-\mathrm{y}+10 \mathrm{z}=11$
$2 x-y-9 z=10$
$2 \mathrm{x}-\mathrm{y}-10 \mathrm{z}=9$
Correct Option: , 2
Solution:
