Question:
The largest sphere is carved out of a cube of side 10.5 cm. Find the volume of the sphere.
Solution:

The side of cube a = 10.5 cm.
Since, a largest sphere is curved out of that cube
i.e., radius of sphere,
$r=\frac{a}{2}$
$r=\frac{10.5}{2} \mathrm{~cm}$
$r=5.25 \mathrm{~cm}$
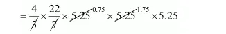
The volume of sphere
$=\frac{4}{3} \pi(5.25)^{3}$

$=22 \times 0.75 \times 1.75 \times 21$
$=606.375 \mathrm{~cm}^{3}$