Question:
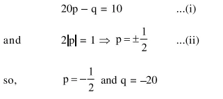
The mean and the standard deviation (s.d.) of 10 observations are 20 and 2 resepectively. Each of these 10 observations is multiplied by $\mathrm{p}$ and then reduced by $\mathrm{q}$, where $\mathrm{p} \neq 0$ and $\mathrm{q} \neq 0$. If the new mean and new s.d. become half of their original values, then $\mathrm{q}$ is equal to
Correct Option: 1
Solution:
