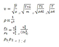
Question:
The wires of different densities but same area of cross section are soldered together at one end and are stretched to a tension $\mathrm{T}$. The velocity of a transverse wave in the first wire is double of that in the second wire. Find the ratio of the density of the first wire to that of the second wire.
Solution:
