Two long bar magnets are placed with their axes coinciding in
Question:
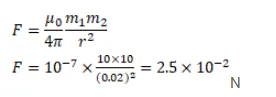
Two long bar magnets are placed with their axes coinciding in such a way that the north pole of the first magnet is $2.0 \mathrm{~cm}$ from the south pole of the second. If both the magnets have a pole strength of 10 A-m, find the force exerted by one magnet on the other.
Solution:
