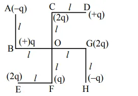
What will be the magnitude of electric field at point O as shown in figure?
Question:
What will be the magnitude of electric field at point O as shown in figure? Each side of the figure is l and perpendicular to each other?

Correct Option: , 2
Solution:
$\mathrm{E}_{1}=\frac{\mathrm{kq}}{\ell^{2}}=\mathrm{E}_{2}$
$\mathrm{E}_{3}=\frac{\mathrm{kq}}{(\sqrt{2} \ell)^{2}}=\frac{\mathrm{kq}}{2 \ell^{2}}$
$\mathrm{E}=\frac{\sqrt{2} \mathrm{kq}}{\ell^{2}}-\frac{\mathrm{kq}}{2 \ell^{2}}=\frac{\mathrm{kq}}{2 \ell^{2}}(2 \sqrt{2}-1)$
