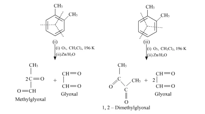
Write down the products of ozonolysis of 1, 2-dimethylbenzene (o-xylene).
Question:
Write down the products of ozonolysis of 1, 2-dimethylbenzene (o-xylene). How does the result support Kekulé structure for benzene?
Solution:
o-xylene has two resonance structures:

All three products, i.e., methyl glyoxal, 1, 2-dimethylglyoxal, and glyoxal are obtained from two Kekule structures. Since all three products cannot be obtained from any one of the two structures, this proves that o-xylene is a resonance hybrid of two Kekule structures (I and II).