Quadratic Equations Class 11 for IIT JEE
Quadratic equations are second-degree polynomial equations of the form ax² + bx + c = 0 that are solved using the quadratic formula, discriminant, and Vieta’s formulas to analyze roots, form equations, and solve JEE Main and Advanced problems involving nature, location, and transformations of roots.
Table of Contents
- What Is a Quadratic Equation? Definition and Standard Form
- Quadratic Formula and the Discriminant
- Quadratic Equations Class 11
- Nature of Roots — Complete Rules with Conditions
- Relationship Between Roots and Coefficients (Vieta's Formulas)
- Formation of a Quadratic Equation From Given Roots
- Common Transformations and Derived Equations
- What Are the Most Important Topics in Quadratic Equations for JEE?
- How to Study Quadratic Equations for JEE Class 11
eSaral › JEE › JEE Main Quadratic Equations Class 11 for IIT JEE
🚀 Checkout eSaral Courses
What Is a Quadratic Equation? Definition and Standard Form
A quadratic equation is any polynomial equation of degree 2. Its standard form is:
ax² + bx + c = 0, where a, b, c ∈ ℝ and a ≠ 0
The condition a ≠ 0 is essential — if a = 0, the equation becomes linear, not quadratic.
Examples of quadratic equations:
- x² − 5x + 6 = 0 (a=1, b=−5, c=6)
- 2x² + 3x − 2 = 0 (a=2, b=3, c=−2)
- x² − 4 = 0 (a=1, b=0, c=−4)
- x² = 0 (a=1, b=0, c=0)
Examples that are NOT quadratic:
- x³ − 2x + 1 = 0 (degree 3 — cubic)
- 3x + 5 = 0 (degree 1 — linear)
- 0·x² + 2x − 1 = 0 (a=0 — reduces to linear)
A quadratic equation always has exactly two roots (counting multiplicity), which may be real or complex. This is guaranteed by the Fundamental Theorem of Algebra.
Quadratic Formula and the Discriminant
The Quadratic Formula
For ax² + bx + c = 0 (a ≠ 0), the two roots α and β are:
x = (−b ± √(b² − 4ac)) / 2a
This formula is derived by completing the square and works for all quadratic equations regardless of whether the roots are rational, irrational, or complex.
The Discriminant (D)
The expression under the square root is called the discriminant:
D = b² − 4ac
The discriminant completely determines the nature of the roots without requiring you to solve the equation. This is why D is the single most important quantity in quadratic equations for JEE and boards.
💡 Expert Tip by Saransh Gupta, IIT Bombay AIR-41: "In JEE, you are rarely asked to solve a quadratic equation outright. You are asked to find the range of a parameter for which the roots satisfy a given condition — both roots positive, roots of opposite sign, roots greater than a given value. Every such condition translates directly to conditions on D, the sum of roots (α+β), and the product of roots (αβ). Master these three quantities and JEE quadratic problems become systematic."
Quadratic Equations Class 11

India's Best Exam Preparation for Class 11th - Download Now

India's Best Exam Preparation for Class 11th - Download Now

India's Best Exam Preparation for Class 11th - Download Now

India's Best Exam Preparation for Class 11th - Download Now

India's Best Exam Preparation for Class 11th - Download Now

India's Best Exam Preparation for Class 11th - Download Now
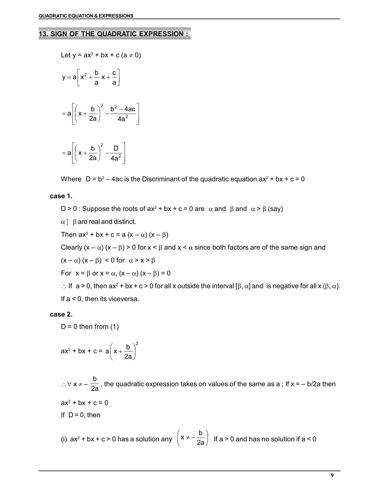
Nature of Roots — Complete Rules with Conditions
The nature of roots of ax² + bx + c = 0 depends entirely on the value of D = b² − 4ac:
| Value of D | Nature of Roots | Description |
|---|---|---|
| D > 0 | Real and distinct | Two different real roots |
| D = 0 | Real and equal | One repeated real root: x = −b/2a |
| D < 0 | Complex conjugate | Two roots: (−b ± i√ |
| D > 0 and a perfect square | Rational and distinct | When a, b, c are rational |
| D > 0 but not a perfect square | Irrational and distinct | Occur in conjugate pairs if a,b,c rational |
Special Cases for Rational Coefficients
When a, b, c are all rational numbers:
- If roots are irrational, they occur as conjugate pairs: (p + √q) and (p − √q)
- If roots are complex, they occur as conjugate pairs: (p + iq) and (p − iq)
This conjugate property is critical for JEE questions that ask you to form equations given one irrational or complex root.
Sign of Roots from D and Coefficients
Without solving, you can determine the sign of both roots using:
| Condition | Conclusion |
|---|---|
| D ≥ 0, α+β > 0, αβ > 0 | Both roots positive |
| D ≥ 0, α+β < 0, αβ > 0 | Both roots negative |
| αβ < 0 | Roots have opposite signs (one +ve, one −ve) |
| D ≥ 0, α+β > 0, αβ = 0 | One root zero, one root positive |
| D = 0 | Both roots equal |
Relationship Between Roots and Coefficients (Vieta's Formulas)
If α and β are the roots of ax² + bx + c = 0, then:
Sum of roots: α + β = −b/a
Product of roots: αβ = c/a
These two relations — known as Vieta's formulas — are the foundation of almost every JEE problem on quadratic equations. You do not need to find α and β individually to answer questions about their sum, product, or expressions derived from them.
Deriving Expressions From Vieta's Formulas
| Expression | Formula in Terms of (α+β) and αβ |
|---|---|
| α² + β² | (α+β)² − 2αβ |
| α² − β² | (α+β)(α−β) |
| α³ + β³ | (α+β)³ − 3αβ(α+β) |
| α³ − β³ | (α−β)(α² + αβ + β²) |
| (α−β)² | (α+β)² − 4αβ |
| |α−β| | √[(α+β)² − 4αβ] = √D / |a| |
| 1/α + 1/β | (α+β) / αβ = −b/c |
| α²β + αβ² | αβ(α+β) = −bc/a² |
💡 Expert Tip by Saransh Gupta, IIT Bombay AIR-41: "Every expression involving α and β can be reduced to powers of (α+β) and αβ using Newton's identities or algebraic identities. In JEE Advanced, this reduction is often the entire solution. Students who try to find α and β first and then compute the expression lose time and often make arithmetic errors. Work with sum and product directly."
Formation of a Quadratic Equation From Given Roots
If the two roots of a quadratic equation are α and β, the equation is:
x² − (α+β)x + αβ = 0
or equivalently:
x² − (sum of roots)x + (product of roots) = 0
Solved Example
Form a quadratic equation whose roots are (2 + √3) and (2 − √3).
Sum of roots = (2 + √3) + (2 − √3) = 4
Product of roots = (2 + √3)(2 − √3) = 4 − 3 = 1
Quadratic equation: x² − 4x + 1 = 0 ✓
Verification: D = 16 − 4 = 12 > 0 ✓ (roots are real and distinct, as expected for irrational roots)
When One Complex Root Is Given
If one root is (3 + 2i) and coefficients are real, the other root must be (3 − 2i) (conjugate pair rule).
Sum = (3+2i) + (3−2i) = 6 Product = (3+2i)(3−2i) = 9 + 4 = 13
Equation: x² − 6x + 13 = 0
Common Transformations and Derived Equations
A high-frequency JEE topic: given the roots α and β of f(x) = 0, find the equation whose roots are some transformation of α and β.
| Required Roots | Replace x with | New Equation |
|---|---|---|
| −α, −β | −x | a(−x)² + b(−x) + c = 0 → ax² − bx + c = 0 |
| 1/α, 1/β | 1/x | a(1/x)² + b(1/x) + c = 0 → cx² + bx + a = 0 |
| α+k, β+k (shift by k) | x−k | a(x−k)² + b(x−k) + c = 0 |
| kα, kβ (scale by k) | x/k | a(x/k)² + b(x/k) + c = 0 → ax² + bkx + ck² = 0 |
| α², β² | √x | a(√x)² + b(√x) + c = 0 → ax + b√x + c = 0 (then solve) |
The key insight: Every root transformation corresponds to a substitution in x. Find the substitution, make it, and simplify. This systematic approach handles all transformation questions in JEE without memorisation.
What Are the Most Important Topics in Quadratic Equations for JEE?
Based on analysis of JEE Main and JEE Advanced papers from 2015 to 2024, these are the highest-frequency topics from the Quadratic Equations chapter:
For JEE Main (1–2 questions per paper)
- Nature of roots using discriminant — conditions on coefficients for real, rational, or complex roots
- Vieta's formulas — computing expressions involving roots without finding the roots individually
- Formation of equation from given roots — especially with irrational or complex roots
- Range of parameter k for which roots satisfy a given condition (both positive, opposite sign, both greater than 1)
- Maximum and minimum values of quadratic expressions
For JEE Advanced (appears in complex multi-step problems)
- Location of roots — conditions for roots to lie in a specific interval [p, q]
- Common roots between two quadratic equations
- Quadratic inequalities — sign of ax² + bx + c for various ranges of x
- Parametric quadratics — equations where coefficients depend on a parameter
- Relation between roots of two equations connected by a constraint
Location of Roots — Key Conditions
This is the single most-tested JEE Advanced concept in this chapter. For ax² + bx + c = 0 with roots α and β:
| Condition Required | Mathematical Requirements |
|---|---|
| Both roots > k | D ≥ 0, f(k) > 0 (if a>0), vertex x = −b/2a > k |
| Both roots < k | D ≥ 0, f(k) > 0 (if a>0), vertex < k |
| k lies between the roots | a·f(k) < 0 |
| Both roots in (p, q) | D ≥ 0, f(p) > 0, f(q) > 0 (if a>0), p < −b/2a < q |
| Exactly one root in (p, q) | f(p)·f(q) < 0 |
How to Study Quadratic Equations for JEE Class 11
Step 1: Master the Three Core Quantities (1 day)
Every quadratic problem reduces to three quantities: D (discriminant), α+β (sum of roots), and αβ (product of roots). Before attempting any JEE problem, identify which of these three are given, which are asked, and what condition connects them. This framing converts unfamiliar problems into known patterns.
Step 2: Build Your Formula Card (half day)
Write every formula from these notes on a single A4 sheet — discriminant conditions, Vieta's formulas, the expressions table, and the location of roots conditions table. This becomes your revision anchor. Any question you get wrong during practice should be traced back to one formula on this sheet.
Step 3: Solve NCERT Examples and Exercises Completely (1–2 days)
NCERT covers the conceptual foundation. Every example and exercise problem in Chapter 5 (Quadratic Equations) should be solved, not read. Writing forces understanding; reading creates an illusion of understanding.
Step 4: Progress to Module-Level Problems (3–4 days)
After NCERT, work through eSaral's chapter module from basic exercises to JEE Main level. Do not skip to JEE Advanced problems before basic and moderate-level questions are fluent. The location of roots concept, in particular, requires moderate-level practice before Advanced-level questions make sense.
Step 5: Attempt Chapter-Wise JEE PYQs
Solve JEE Main PYQs on quadratic equations grouped by sub-topic — all nature-of-roots questions together, all Vieta's formula questions together, all location-of-roots questions together. This grouping reveals the exact question patterns NEET and JEE return to repeatedly.
Frequently Asked Questions
Find answers to common questions.
What is the quadratic formula for Class 11?
The quadratic formula for ax² + bx + c = 0 (a ≠ 0) is x = (−b ± √(b²−4ac)) / 2a. The expression D = b²−4ac is the discriminant and determines the nature of the roots. If D > 0, roots are real and distinct. If D = 0, roots are real and equal. If D < 0, roots are complex conjugates.
What are Vieta's formulas for quadratic equations?
Vieta's formulas state that for ax² + bx + c = 0 with roots α and β: the sum of roots α + β = −b/a, and the product of roots αβ = c/a. These two relations allow you to compute expressions like α² + β², α³ + β³, and 1/α + 1/β without finding α and β individually — which is how most JEE questions on this topic are solved.
What is the discriminant in quadratic equations and what does it tell us?
The discriminant D = b²−4ac is the expression under the square root in the quadratic formula. It determines the nature of roots without solving the equation. D > 0 gives two real distinct roots, D = 0 gives one repeated real root (x = −b/2a), and D < 0 gives two complex conjugate roots. For JEE, D is also used to set conditions on parameters in the equation.
How do you form a quadratic equation from given roots?
If α and β are the required roots, the quadratic equation is x² − (α+β)x + αβ = 0. Calculate the sum and product of the given roots, substitute into this template, and simplify. If one root is irrational (like 2+√3), the other root for a rational-coefficient equation must be its conjugate (2−√3).
What are the important formulas in quadratic equations for Class 11 JEE?
The most important formulas are: the quadratic formula x = (−b ± √D)/2a, the discriminant D = b²−4ac, Vieta's formulas (α+β = −b/a and αβ = c/a), the expression for |α−β| = √D/|a|, the equation formed from roots x² − (α+β)x + αβ = 0, and the location of roots conditions (f(k) > 0 for both roots greater than k when a > 0, and f(p)·f(q) < 0 for exactly one root in (p, q)).
